fracciones algebraicas
1) Factorizamos los denominadores. Para ello debemos recordar las fórmulas de los productos notables
![]()
![]()
![]()
![]()
2) Calculamos m.c.m. de los denominadores
![]()
3) Reducimos las fracciones a común denominador
![]()
![]()
![]()
![]()
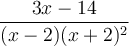
Opera y simplifica:

1) Factorizamos los denominadores. Para ello debemos recordar las fórmulas de los productos notables
![]()
![]()
![]()
![]()
2) Calculamos m.c.m. de los denominadores
![]()
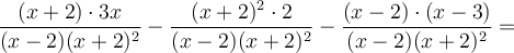
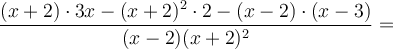
3) Reducimos las fracciones a común denominador
![]()
![]()
![]()
![]()
Opera y simplifica:
