• Apuntes
  • Vídeos
  • Ejercicios
    • Resueltos
    • Por Curso
      • 1º ESO
      • 2º ESO
      • 3º ESO
      • 4º ESO
      • 1º BACH. CIENCIAS
      • 1º BACH. SOCIALES
      • 2º BACH. CIENCIAS
      • 2º BACH. SOCIALES
  • Más recursos
    • Actividades Interactivas
    • Selectividad (PAU)
    • Acceso Mayores 25
    • LaTeX
Inicio ›EJERCICIOS de Matemáticas ›1º BACH. CIENCIAS ›Polinomios y Fracciones Algebraicas ›fracciones algebraicas

fracciones algebraicas

Ejercicios_Resueltosfracciones_algebraicaspolinomios

Opera y simplifica:
\frac{x^2+x+1}{x^3-x^2+x-1} : \frac{x+1}{x-1}

SOLUCIÓN

\frac{x^2+x+1}{x^3-x^2+x-1} : \frac{x+1}{x-1}=

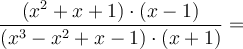
\frac{(x^2+x+1) \cdot (x-1)}{(x^3-x^2+x-1) \cdot (x+1)}=

\frac{(x^2+x+1) \cdot \cancel{(x-1)}}{\cancel{(x-1)}(x^2+1) \cdot (x+1)}=

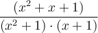
\frac{(x^2+x+1) }{(x^2+1) \cdot (x+1)}

Comentar el ejercicio

  • 1º BACH. CIENCIAS
    • Derivadas
    • Números Reales
    • Sucesiones
    • Logaritmos
    • Polinomios y Fracciones Algebraicas
    • Exámenes
    • Ecuaciones
    • Números Complejos
    • Sistemas de Ecuaciones
    • Trigonometría
    • Inecuaciones
    • Ecuaciones Exponenciales y Logarítmicas
    • Funciones (I)
    • Geometría en el Plano
    • Cónicas
    • Funciones II
    • Integrales
    • Probabilidad
  • Mapa del sitio
  • Conectarse
  • 2001-2026 — Matemáticas IES — Contactar con dani