Matemáticas IES

  • Inicio
  • Apuntes
  • Vídeos
  • Ejercicios
  • Ej. Resueltos
  • PAU
  • Acceso 25
  • Buscar
  • Portada del sitio
  • EJERCICIOS de Matemáticas
  • 1º BACH. CIENCIAS
  • Polinomios y Fracciones Algebraicas
  • fracciones algebraicas

fracciones algebraicas

|
  • polinomios
  • fracciones_algebraicas

Simplifica las siguientes expresiones:

– a) \frac{x^3}{x^2 + x^3}
– b) \frac{x-1}{x^2-1}
– c) \frac{x+1}{x^2+2x+1}

SOLUCIÓN

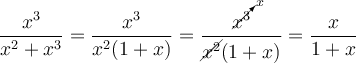
a) \frac{x^3}{x^2 + x^3} =\frac{x^3}{x^2(1+x)}=\frac{\cancelto{x}{x^3}}{\cancel{x^2}(1+x)} = \frac{x}{1+x}
b) \frac{x-1}{x^2-1}=\frac{\cancel{x-1}}{(x+1)\cancel{(x-1)}} = \frac{1}{x+1}
c) \frac{x+1}{x^2+2x+1}  = \frac{x+1}{(x+1)^2}  =\frac{1}{x+1}

comentariosComentar el Ejercicio

  • Secciones
  • 1º BACH. CIENCIAS
    • Cónicas
    • Derivadas
    • Ecuaciones
    • Ecuaciones Exponenciales y Logarítmicas
    • Exámenes
    • Funciones (I)
    • Funciones II
    • Geometría en el Plano
    • Inecuaciones
    • Integrales
    • Logaritmos
    • Números Complejos
    • Números Reales
    • Polinomios y Fracciones Algebraicas
    • Probabilidad
    • Sistemas de Ecuaciones
    • Sucesiones
    • Trigonometría
  • 1º BACH. SOC.
  • 1º ESO
  • 2º BACH. CIENCIAS
  • 2º BACH. SOC.
  • 2º ESO
  • 3º ESO
  • 4º ESO

Palabras clave

  • fracciones_algebraicas
  • polinomios

2001-2025  — Matemáticas IES
Mapa del sitio | Conectarse | Seguir la vida del sitio  RSS 2.0

SPIP