polinomios factorizar
Factoriza los siguientes polinomios:
–
– ![]()
SOLUCIÓN
Factorización de:
![]()
No hay factor común distinto de 1.
Paso 2 — Factor de grado 2:
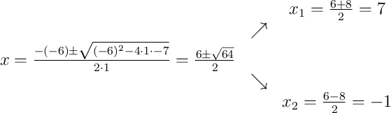
Aplicamos la fórmula cuadrática:

Por tanto:
![]()
Resultado final de la factorización:
![]()
Factorización de:
![]()
Paso 1 — Factor común:
![]()
Paso 2 — Factor de grado 2:
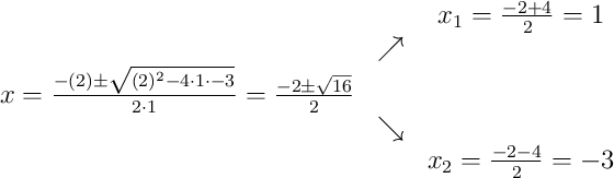
Aplicamos la fórmula cuadrática:

Por tanto:
![]()
Resultado final de la factorización:
![]()