polinomios factorizar
Factoriza los siguientes polinomios:
–
– ![]()
SOLUCIÓN
Factorización de:
![]()
No hay factor común distinto de 1.
Paso 2 — Factor de grado 2:
Aplicamos la fórmula cuadrática:

Por tanto:

Resultado final de la factorización:

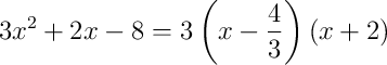
Factorización de:
![]()
No hay factor común distinto de 1.
Paso 2 — Ruffini:
Los candidatos a raíces enteras son los divisores del término independiente (3):
![]()
![]()
![\polyhornerscheme[x=1, resultstyle=\color{red},resultbottomrule,resultleftrule,resultrightrule]{x^4-4x^3+4x^2-4x+3} \polyhornerscheme[x=1, resultstyle=\color{red},resultbottomrule,resultleftrule,resultrightrule]{x^4-4x^3+4x^2-4x+3}](local/cache-TeX/6c7d3fae45f74181529a97f3298db161.png)
![]()
![\polyhornerscheme[x=3, resultstyle=\color{red},resultbottomrule,resultleftrule,resultrightrule]{x^3-3x^2+x-3} \polyhornerscheme[x=3, resultstyle=\color{red},resultbottomrule,resultleftrule,resultrightrule]{x^3-3x^2+x-3}](local/cache-TeX/6329eeccb82eb2df19130d5c0fe61273.png)
Cuando ya no podemos encontrar más raíces por Ruffini podemos resolver la ecuación de segundo grado:
Aplicamos la fórmula cuadrática:
![]()
El factor
![]()
Resultado final de la factorización:
![]()