polinomios factorizar
Factoriza los siguientes polinomios:
– a)
– b) ![]()
SOLUCIÓN
Factorización de:
![]()
Paso 1 — Factor común:
![]()
Paso 2 — Factor de grado 2:
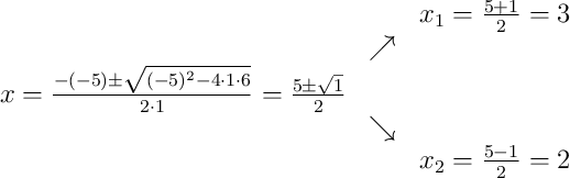
Aplicamos la fórmula cuadrática:

Por tanto:
![]()
Resultado final de la factorización:
![]()
Factorización de:
![]()
No hay factor común distinto de 1.
Paso 2 — Ruffini:
Los candidatos a raíces enteras son los divisores del término independiente (5):
![]()
![]()
![\polyhornerscheme[x=-5, resultstyle=\color{red},resultbottomrule,resultleftrule,resultrightrule]{x^3+3x^2-9x+5} \polyhornerscheme[x=-5, resultstyle=\color{red},resultbottomrule,resultleftrule,resultrightrule]{x^3+3x^2-9x+5}](local/cache-TeX/15bf8af0954a446e2d57b90780e979ca.png)
![]()
![\polyhornerscheme[x=1, resultstyle=\color{red},resultbottomrule,resultleftrule,resultrightrule]{x^2-2x+1} \polyhornerscheme[x=1, resultstyle=\color{red},resultbottomrule,resultleftrule,resultrightrule]{x^2-2x+1}](local/cache-TeX/f1a8033862790a8526362b364f6d12cf.png)
![]()
![\polyhornerscheme[x=1, resultstyle=\color{red},resultbottomrule,resultleftrule,resultrightrule]{x-1} \polyhornerscheme[x=1, resultstyle=\color{red},resultbottomrule,resultleftrule,resultrightrule]{x-1}](local/cache-TeX/426ee5d1e83aafb949dbb566e444900b.png)
Resultado final de la factorización:
![]()