polinomios operaciones
Calcula el cociente y el resto de las siguientes divisiones:
–
– ![]()
SOLUCIÓN:
– ![]()
![\polylongdiv[style=D]{4x^5+20x^4+28x-6}{x^2+5x} \polylongdiv[style=D]{4x^5+20x^4+28x-6}{x^2+5x}](local/cache-vignettes/L283xH74/997f86a35a68bf010dfef1310782101c-c890c.png?1688762512)
Cociente: ![]()
Resto: ![]()
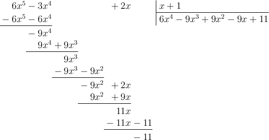
– ![]()
![\polylongdiv[style=D]{6x^5-3x^4+2x}{x+1} \polylongdiv[style=D]{6x^5-3x^4+2x}{x+1}](local/cache-vignettes/L549xH286/8ac1883c8e30400c63ace7e2100a91df-b3cd0.png?1688758912)
Por Ruffini:
![\polyhornerscheme[x=-1,resultstyle=\color{red},resultbottomrule,resultleftrule,resultrightrule]{6x^5-3x^4+2x} \polyhornerscheme[x=-1,resultstyle=\color{red},resultbottomrule,resultleftrule,resultrightrule]{6x^5-3x^4+2x}](local/cache-vignettes/L402xH99/d096da2b0baaf3b411b3dd0b05e3aee1-5d685.png?1688762512)
Cociente: ![]()
Resto: ![]()
Calcula el cociente y el resto de las siguientes divisiones:
–
– ![]()
SOLUCIÓN:
– ![]()
![\polylongdiv[style=D]{4x^5+20x^4+28x-6}{x^2+5x} \polylongdiv[style=D]{4x^5+20x^4+28x-6}{x^2+5x}](local/cache-vignettes/L283xH74/997f86a35a68bf010dfef1310782101c-c890c.png?1688762512)
Cociente: ![]()
Resto: ![]()
– ![]()
![\polylongdiv[style=D]{6x^5-3x^4+2x}{x+1} \polylongdiv[style=D]{6x^5-3x^4+2x}{x+1}](local/cache-vignettes/L549xH286/8ac1883c8e30400c63ace7e2100a91df-b3cd0.png?1688758912)
Por Ruffini:
![\polyhornerscheme[x=-1,resultstyle=\color{red},resultbottomrule,resultleftrule,resultrightrule]{6x^5-3x^4+2x} \polyhornerscheme[x=-1,resultstyle=\color{red},resultbottomrule,resultleftrule,resultrightrule]{6x^5-3x^4+2x}](local/cache-vignettes/L402xH99/d096da2b0baaf3b411b3dd0b05e3aee1-5d685.png?1688762512)
Cociente: ![]()
Resto: ![]()