sistema ecuaciones lineal 2x2 denominadores
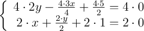
Resuelve el sistema de ecuaciones:

SOLUCIÓN
Tenemos que quitar denominadores para dejarlo como un sistema norrmal.
En la 1ª ecuación podemos multiplicar todo por 4.
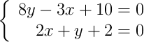
En la 1ª ecuación podemos multiplicar todo por 2.


Ordenamos

Resolvemos
Método de Sustitución
Despejamos una incógnita en una de las ecuaciones y sustituimos esa expresión en la otra, obteniendo una ecuación con una sola incógnita.
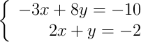
Sistema de partida:

Paso previo · Elegimos qué incógnita despejar
El coeficiente de y en la Ec.2 es 1: despejamos y de esa ecuación porque no aparecerán fracciones.
Paso 1 · Despejamos y de la segunda ecuación
![]()
Paso 2 · Sustituimos y en la primera ecuación
![]()
Paso 3 · Desarrollamos el paréntesis
![]()
Paso 4 · Agrupamos los términos con x a un lado y los números al otro
![]()
Paso 5 · Despejamos x

Paso 6 · Sustituimos x en la expresión del Paso 1 para hallar y


Solución
