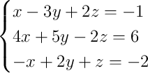
sistemas lineal de 3 ecuaciones con 3 incógnitas
Resuelve el sistema de ecuaciones:

SOLUCIÓN
Regla de Cramer
Sistema de partida:

Paso 1 · Determinante principal det(A)

Desarrollo por la primera fila:

![]()
Como
, el sistema tiene solución única.
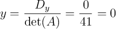
Paso 2 · Determinante
(columna de
reemplazada por los términos independientes)


![]()
Paso 3 · Determinante
(columna de
reemplazada por los términos independientes)


![]()
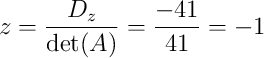
Paso 4 · Determinante
(columna de
reemplazada por los términos independientes)


![]()
Aplicando la regla de Cramer:



Solución del sistema:
![]()