02 - Ecuaciones implícitas de la recta en el espacio
De la ecuación continua de la recta, se obtienen las ecuaciones implícitas de la siguiente forma:
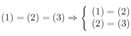
La ecuación continua es un triple igualdad:

De una triple igualdad se obtienen dos ecuaciones:

Otra forma válida sería: (1)=(2) y (1)=(3)
Aplicando la propiedad de las proporciones (producto de medios = producto de extremos), agrupando términos semejantes y pasando todo al primer miembro, se obtienen las ecuaciones implícitas de la recta:
