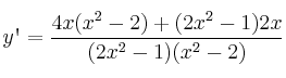
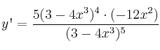
Calcular Derivada 💬 2 derivada de una funciónEjercicios_Resueltos Calcula la derivada de las funciones: – – SOLUCIÓN – – Comentar el ejercicio Mensajes 21 de abril de 2021, 14:07, por Antonio Luis Díaz Díaz En el apartado a), ¿la desaparición del logaritmo neperiano se debe a algo o es un error?. 3 de mayo de 2021, 07:25, por dani En la derivada desaparece el logaritmo. Puedes verlo en las fórmulas: Resumen de fórmulas (derivadas)
Mensajes
21 de abril de 2021, 14:07, por Antonio Luis Díaz Díaz
En el apartado a), ¿la desaparición del logaritmo neperiano se debe a algo o es un error?.
3 de mayo de 2021, 07:25, por dani
En la derivada desaparece el logaritmo.
Puedes verlo en las fórmulas:
Resumen de fórmulas (derivadas)