Navega sin publicidad Regístrate GRATIS
 
  Si ya estás registrado/a Identifícate

Demostrar igualdad trigonométrica

💬 2

  Ejercicios_Resueltosigualdad_trigonométricatrigonometría

Demuestra la siguiente igualdad trigonométrica:
cotg^2 \: \alpha - cos^2 \: \alpha = cotg^2 \: \alpha \cdot cos^2 \: \alpha

SOLUCIÓN

cotg^2 \: \alpha - cos^2 \: \alpha = cotg^2 \: \alpha \cdot cos^2 \: \alpha

Expresamos cotg^2 \: \alpha como \frac{cos^2 \: \alpha}{sen^2 \: \alpha}
Entonces quedaría:

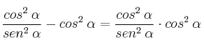
\frac{cos^2 \: \alpha}{sen^2 \: \alpha} - cos^2 \: \alpha = \frac{cos^2 \: \alpha}{sen^2 \: \alpha} \cdot cos^2 \: \alpha

\frac{cos^2 \: \alpha - sen^2 \alpha \cdot cos^2 \alpha}{sen^2 \: \alpha} =
\frac{cos^2 \: \alpha  \cdot cos^2 \alpha}{sen^2 \: \alpha}

cos^2 \: \alpha - sen^2 \alpha \cdot cos^2 \alpha =
cos^2 \: \alpha  \cdot cos^2 \alpha

cos^2 \: \alpa (1 - sen^2 \alpha) = cos^2 \: \alpha  \cdot cos^2 \alpha

cos^2 \: \alpa  \cdot cos^2 \alpha= cos^2 \: \alpha  \cdot cos^2 \alpha

Comentar el ejercicio

Mensajes