Matemáticas IES

  • Inicio
  • Apuntes
  • Vídeos
  • Ejercicios
  • Ej. Resueltos
  • PAU
  • Acceso 25
  • Buscar
  • Portada del sitio
  • EJERCICIOS de Matemáticas
  • 4º ESO
  • Polinomios
  • División de Polinomios: Polinomio entre Binomio

División de Polinomios: Polinomio entre Binomio

|
  • operaciones_con_polinomios
  • división_clásica_polinomios

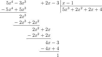
Efectúa usando la división tradicional de polinomios:
(5x^4-3x^3+2x-3) : (x-1)

SOLUCIÓN

Para hacer la división clásica de polinomios puedes seguir las siguientes instrucciones:
Cociente de polinomios

\polylongdiv[style=D]{5x^4-3x^3+2x-3}{x-1}

comentariosComentar el Ejercicio

  • Secciones
  • 1º BACH. CIENCIAS
  • 1º BACH. SOC.
  • 1º ESO
  • 2º BACH. CIENCIAS
  • 2º BACH. SOC.
  • 2º ESO
  • 3º ESO
  • 4º ESO
    • Circunferencia
    • Ecuaciones
    • Estadística
    • Funciones 4º ESO
    • Geometría en el plano
    • Inecuaciones
    • Logaritmos
    • Números racionales
    • Números Reales
    • Polinomios
    • Probabilidad
    • Proporcionalidad
    • Radicales
    • Sistemas de ecuaciones
    • Trigonometría

Palabras clave

  • división_clásica_polinomios
  • operaciones_con_polinomios

2001-2025  — Matemáticas IES
Mapa del sitio | Conectarse | Seguir la vida del sitio  RSS 2.0

SPIP