Ecuación Circunferencia por 3 puntos
SOLUCIÓN
La ecuación general de una circunferencia se puede expresar como:
Si pasa por (0,0)
A partir de ahora, en lugar de «F» pondremos «0»
Si pasa por (1,3)
Si pasa por (-2,-1)
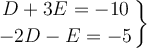
Resolvemos el sistema de dos ecuaciones con dos incógnitas
Lo resolvemos por sustitución
Por tanto la ecuación quedaría:

Circunferencia por tres puntos
Ecuación de la circunferencia que pasa por 3 puntos
matematicasies.com