Ecuaciones de la circunferencia
|
La circunferencia es el lugar geom茅trico de los puntos que est谩n a la misma distancia (r) de un punto (C) llamado centro.
A esa distancia (r) le llamamos radio.
Ecuaci贸n can贸nica de la circunferencia
Vamos a deducir la ecuaci贸n de la circunferencia.
Dibujamos una circunferencia de centro
y radio
.
Dibujamos un punto cualquiera
de la circunferencia
Ecuaci贸n de la circunferencia
Deducci贸n de la ecuaci贸n de una circunferencia
En el tri谩ngulo rect谩ngulo de la imagen aplicamos Pit谩goras
![]()
Es la ecuaci贸n can贸nica (o reducida) de la circunferencia de centro (a,b) y radio r
Otra forma de deducir la ecuaci贸n de la circunferencia es mediante distancias:
![]()


![]()
Ecuaci贸n general de la circunferencia
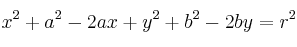
A partir de la ecuaci贸n can贸nica, si quitamos par茅ntesis y ordenamos la expresi贸n, obtendr铆amos:
![]()
![]()
![]()
Si hacemos los cambios:
![]()
![]()
![]()
podemos expresarla como:
![]()
lo que se conoce como ecuaci贸n general de la circunferencia
08 - C贸nicas
Ecuaciones de la circunferencia
Posici贸n relativa de recta y circunferencia
Posici贸n relativa de dos circunferencias
- Secciones
-
MATEM脕TICAS
- 01 - N煤meros Naturales
- 02 - N煤meros Enteros
- 03 - Fracciones
- 04 - Proporcionalidad y Porcentajes
- 05 - Sistemas de medida
- 06 - Polinomios
- 07 - Ecuaciones
- 08 - Sistemas de ecuaciones
- 10 - Sucesiones
- 11 - Geometr铆a en el plano
- 12 - Estad铆stica
- 13 - Probabilidad
- 14 - V.A. Unidimensionales
- 15 - Funciones, L铆mites y Continuidad
- 16 - Derivadas
- 17 - Integrales
- 18 - Matrices y Determinantes
- 19 - Grafos
- 20 - Geometr铆a en el espacio
- 21 - Trigonometr铆a
- 22 - Logaritmos
- 23 - Matem谩tica Financiera
- 25 - Inferencia Estad铆stica
- LaTeX
Matem谩ticas IES