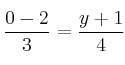
Ecuación Continua de la recta
SOLUCIÓN
La propia ecuación continua ya nos aporta el punto
Para obtener más puntos de la recta, basta con darle valores a e ir calculando
(o al revés).
Para tenemos
Por tanto un segundo punto sería
Un vector director de la recta sería el que nos aporta los denominadores de la propia ecuación continua . Cualquier vector proporcional al anterior valdría como vector directo de la recta, por ejemplo
Para dibujar la recta, bastaría con dibujar los dos puntos que conocemos de la misma y a continuación trazar la recta.
