Ecuación de la mediana
Dado el triángulo de vértices
,
y
, halla la ecuación de la mediana correspondiente al vértice ![]()
SOLUCIÓN
La mediana correspondiente al vértice
es la recta que une
con el punto medio del segemento ![]()
Hallamos el punto medio del segmento
, al que llamamos ![]()
Recuerda como hallar el punto medio de un segmento

Ahora tan sólo nos queda crear la recta que pasa por
y ![]()
Como punto tomamos
y como vector
También nos vale cualquier otro vector proporcional, por ejemplo
, o incluso ![]()
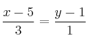
La mediana en ec. continua sería:

Si queremos expresarla en ecuación general:
