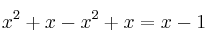
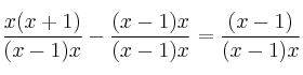
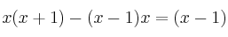
Ecuaciones racionales 3184 | ecuaciones ecuaciones_racionales Resuelve la ecuación SOLUCIÓN Ponemos denominador 1 a los que no tienen Se trata de una ecuación racional Hacemos m.c.m. de los denominadores Ahora ya podemos quitar denominadores Secciones 1º BACH. CIENCIAS Cónicas Derivadas Ecuaciones Ecuaciones Exponenciales y Logarítmicas Exámenes Funciones (I) Funciones II Geometría en el Plano Inecuaciones Integrales Logaritmos Números Complejos Números Reales Polinomios y Fracciones Algebraicas Probabilidad Sistemas de Ecuaciones Sucesiones Trigonometría 1º BACH. SOC. 1º ESO 2º BACH. CIENCIAS 2º BACH. SOC. 2º ESO 3º ESO 4º ESO Palabras clave ecuaciones ecuaciones_racionales