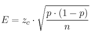
Intervalo de Confianza para la proporción

Datos necesarios
–
: proporción de la población (cuando no se conozca se usará la de la muestra)
–
: proporción de la muestra
–
: tamaño de la muestra
–
: valor crítico
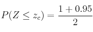
Cálculo del valor crítico ![]()
– Confianza: 90%, 95%, 98%, etc.
– Nivel de confianza: 0.90, 0.95, 0.98, etc.
– Significación+Confianza = 100%

Ejemplo: Confianza del 95%
Miramos la tabla de la N(0,1) y obtenemos 
Error y tamaño de la muestra
Definimos el máximo admisible como

Lo habitual es que nos den el Error máximo y tengamos que calcular el tamaño mínimo de la muestra. De la fórmula anterior, despejamos
y obtenemos:

– El tamaño de la muestra debe ser como mínimo el siguiente nº entero al resultado obtenido con la fórmula anterior.
– Al aumentar el tamaño de la muestra disminuye el Error