Razones trigonométricas de la suma de ángulos
Si conocemos las razones trigonométricas de dos ángulos, podemos obtener las razones del ángulo suma mediante las siguientes fórmulas:



Ejemplo
Dado que conocemos las razones trigonométricas de ángulos notables, podemos calcular (sin calculadora) las razones de 75º (como suma de 45º+30º).


Razones trigonométricas de la resta de ángulos
Si conocemos las razones trigonométricas de dos ángulos, podemos obtener las razones del ángulo resta mediante las siguientes fórmulas:



Ejemplo
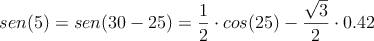
Sabiendo que sen(25)=0.42, calcula sen(5)
Como sabemos las razones de 30º (es un ángulo notable), podemos expresarlo de la siguiente forma:


Nos falta conocer cos(25), pero como tenemos sen(25)=0.42, podemos hallarlo usando la fórmula fundamental de la trigonometría
![[sen(25)]^2 + [cos(25)]^2 = 1 [sen(25)]^2 + [cos(25)]^2 = 1](local/cache-vignettes/L202xH21/52a6a6505fa4257f35a4be3dd1eafe86-4e411.png?1688091044)
Le aconsejo que complete los cálculos y los verifique usando una calculadora.