Selectividad Andalucía 2019 Junio B4
Considera el triángulo cuyos vértices son los puntos
,
y
.
– a) Halla el área de dicho triángulo.
– b) Calcula el coseno del ángulo en el vértice ![]()
SOLUCIÓN
Dados los puntos
,
y
, podemos formar los vectores:

El producto vectorial nos da el área del paralelogramo.
La mitad es el área del triángulo


Por tanto 

(El
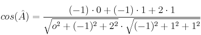
– b) De la fórmula del producto escalar:
,
despejaremos el coseno:


