sistemas ecuaciones lineal 3x3
Resuelve el sistema de ecuaciones:

SOLUCIÓN
Para resolver el sistema podemos usar varios métodos (gauss, sustitución, etc.).
Usaremos el método de sustitución.
Despejaremos "z" en la primera ecuación
La expresión obtenida la sustituimos por "z" en las demás ecuaciones:

Nos ha quedado un sistema de 2 ecuaciones con 2 incógnitas.
Quitamos paréntesis, ordenamos las ecuaciones y resolvemos el sistema.
Obtenemos como soluciones
y ![]()
Ahora nos vamos a la expresión donde teníamos z despejada:
y sustituimos x e y por sus valores
![]()
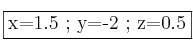
Las soluciones son: 
Mensajes
5 de diciembre de 2019, 17:46, por Yair
2×+3y+z=1
6×-2y-z=-14
3×+y-z=1