Sistemas de ecuaciones
Sistemas de ecuaciones 3º ESO
Alejandra dijo: "si yo tuviera uno de tus CD, tendría tantos como tú". Leandro dijo: "si yo tuviera uno de los tuyos, tendría el doble de los que tienes". ¿Cuántos CD tenía cada uno?.
En un corral hay conejos y gallinas, que hacen un total de 61 cabezas y 196 patas. Hallar el número de conejos y gallinas.
Una solución líquida contiene el 40% de alcohol, y 60 % de agua. Una segunda solución líquida contiene 20% de alcohol y 80% de agua. ¿Qué cantidades de cada solución deben tomarse para formar 80 litros de una solución que contenga 35% de alcohol?
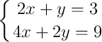
Resuelve analírica y gráficamente el sistema de ecuaciones:

Resuelve gráficamente el sistema de ecuaciones:

Resuelve el sistema de ecuaciones:

Resuelve el sistema de ecuaciones:

Resuelve el sistema de ecuaciones:

Resuelve el sistema de ecuaciones:

Resuelve el sistema de ecuaciones:

- 1
- 2