Ej 1 de Posición Relativa: Recta y Circunferencia
Comprueba si la recta
es tangente a la circunferencia ![]()
SOLUCIÓN
Para ver la posición relativa entre recta y circunferencia podemos usar alguno de los métodos descritos en la teoría
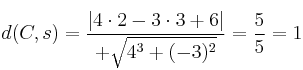
Si usamos el método de la distancia del Centro a la recta, debemos hallar esa distancia y compararla con el radio.Aplicamos la formula de la distancia de un punto a una recta y teniendo en cuenta que el punto es el centro (2,3)

La distancia coincide con el radio, entonces son tangentes.
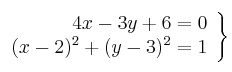
Si usamos el método de resolver el sistema:

Si resolvemos el sistema obtenemos una única solución:

Son tangentes en el punto
Recta y circunferencia tangentes
Recta y circunferencia con un punto en común
matematicasies.com