Ejercicio 2659 rectas geometría en el plano
Dados los puntos
y
, se pide:
– a) Ecuaciones paramétricas, continua y general de la recta
que pasa por
y
– b) Ángulo que forma la recta anterior con el eje de abcisas
– c) Ecuación de la mediatriz del segmento determinado por
y
– d) Distancia de dicha mediatriz al origen de coordenadas
SOLUCIÓN
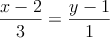
a) Para las ecuaciones de la recta necesitamos un vector y un punto
![]()
Ecuaciones paramétricas ![]()
Ecuación continua ![]()
Ecuación general ![]()
– b) Ángulo que forma la recta anterior con el eje de abcisas
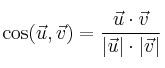
Para hallar el ángulo entre dos rectas, calculamos el ángulo que forman sus vectores directores.
Vector de la recta: ![]()
Vector del eje de abcisas: ![]()
Si no tiene claro el vector del eje de abcisas, tome dos puntos de dicho eje y construya el vector formado por dos puntos
Para hallar el ángulo de los dos vectores usamos el producto escalar

![]()
El ángulo es ![]()
Si usamos la calculadora, obtenemos aproximadamente 18.4 grados
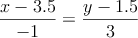
– c) Ecuación de la mediatriz del segmento determinado por A y B
La mediatriz de un segmento es una recta perpendicular al segmento por su punto medio.
En primer lugar calculamos el punto medio del segmento AB
![]()
Ahora necesitamos un vector perpendicular al vector AB (y con punto y vrector ya tendremos la ecuación de la mediatriz)
Vector perpendicular al vector AB sería (-1,3)
Ecuación continua de la mediatriz: ![]()
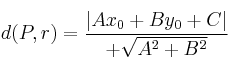
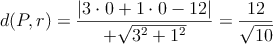
– d) Distancia de dicha mediatriz al origen de coordenadas
Debemos usar la fórmula de la distancia de un punto a una recta

Para aplicar la fórmula necesitamos la recta en ecuación general
![]()
![]()
Ya podemos calcular la distancia
![]()