Ejercicio matrices 4178
Sean las matrices A =
y B =
– a) Calcule los valores de a y b para que
– b) Para
y
, resuelva la ecuación matricial ![]()
SOLUCIÓN
a) ![]()



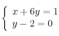
De la igualdad de matrices resultan las siguientes ecuaciones:

del sistema se obtiene que:

b) ![]()
Como
y
, tendremos:



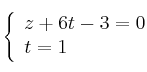
De la igualdad de matrices resultan las siguientes ecuaciones:


Resolviendo ambos sistemas, obtenemos como soluciones:
![]()
Por tanto, la matriz X que nos pedían es la siguiente:
