Ejercicios Probabilidad
Se consideran dos sucesos
y
de un experimento aleatorio, tales que:
,
y 
– a) ¿Son
y
sucesos independientes? Razónese.
– b) Calcule ![]()
SOLUCIÓN
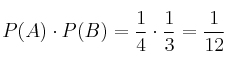
– a) Sabemos que:
A y B independientes
Debemos calcular
, para ello usamos la fórmula de la unión
Ya podemos despejar
obteniendo 
Ahora estamos en condiciones de comprobar la independencia:

Como
entonces
y
son independientes
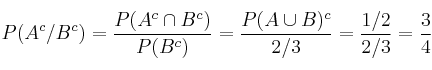
– b) 
En el primer paso hemos aplicado la fórmula de la Probabilidad Condicionada, y en el segundo paso hemos aplicado en el numerador las Leyes de Morgan