Inferencia Estadística
Queremos obtener la media de una variable que se distribuye normalmente con una desviación típica de 3,2. Para ello, se toma una muestra de 64 individuos obteniéndose una media de 32,5. ¿Con qué nivel de confianza se puede afirmar que la media de la población está entre 31,5 y 33,5?
Si la desviación típica de la población fuera 3, ¿Cuál es el tamaño mínimo que debería tener la muestra con la cual estimamos la media poblacional, si queremos que el nivel de confianza sea de 99% y el error admisible no supere el valor de 0,75?
SOLUCIÓN
Datos del enunciado:
![]()
![]()
![]()
![]()
confianza: ? (desconocido)
![]()
Normalmente nos dan el nivel de confianza, a partir del cual calculamos el nivel crítico
.
Como no nos dan el nivel de confianza, debemos obtenerlo a partir de
.
Veamos cómo calcular
con los datos que tenemos
Recordemos que el intervalo de confianza es:

Otra forma de expresarlo es:
![]()
donde
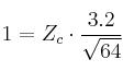
Dado que tenemos el intervalo y la media de la muestra, podemos calcular el error:
![]()
![]()
Veomos por tanto que
Ahora con la fórmula del Error podemos calcular



Una vez que tenemos
miramos en la Tabla
y vemos que:
![]()
Entonces aplicamos la fórmula:


Despejamos el nivel de confianza y obtenemos 0.9876
Por tanto, la confianza es del ![]()
En la segunda parte del ejercicio tenemos estos datos:
![]()
(desconocido)
confianza: ![]()
(error máximo admisible)
Para calcular el tamaño de la muestra (n) a partir del error (E) usamos la fórmula:

sustituimos por los datos que tenemos

Sólo nos falta


Mirando en las tablas obtenemos:
Ahora ya está todo listo para calcular "n"



Por tanto el tamaño de la muestra debe ser
para que el error no supere el valor de 0.75