• Apuntes
  • Vídeos
  • Ejercicios
    • Resueltos
    • Por Curso
      • 1º ESO
      • 2º ESO
      • 3º ESO
      • 4º ESO
      • 1º BACH. CIENCIAS
      • 1º BACH. SOCIALES
      • 2º BACH. CIENCIAS
      • 2º BACH. SOCIALES
  • Más recursos
    • Actividades Interactivas
    • Selectividad (PAU)
    • Acceso Mayores 25
    • LaTeX
Inicio ›EJERCICIOS de Matemáticas ›2º BACH. SOC. ›Matrices, Determinantes y Sistemas ›Matriz inversa

Matriz inversa

matricesmatriz inversa

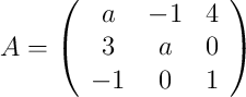
Indica para que valores de a no existe inversa de la matriz siguiente


A =
\left(
\begin{array}{ccc}
     a & -1 & 4
  \\ 3 & a & 0
  \\ -1 & 0 & 1
\end{array}
\right)

Comentar el ejercicio

  • 2º BACH. SOC.
    • Estadística
    • PEvAU - SELECTIVIDAD
    • Programación Lineal
    • Matrices, Determinantes y Sistemas
    • Probabilidad
    • Funciones y Derivadas
  • Mapa del sitio
  • Conectarse
  • 2001-2026 — Matemáticas IES — Contactar con dani