Paralelismo y perpendicularidad de rectas en el plano
SOLUCIÓN
El paralelismo y perpendicularidad de rectas en el plano se puede tratar mediante los vectores directores de las rectas o mediante sus pendientes.
En este ejercicio lo haremos con las pendientes.
Recordemos que la pendiente de una recta es el coeficiente de "x" en la ecuación explícita
También debemos recordar que dos rectas son paralelas cuando tengan la misma pendiente, y son perpendiculares cuando el producto de sus pendientes vale -1.
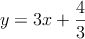
Expresemos ambas rectas en forma explícita para conocer su pendientes:
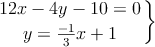
La otra recta (L2) ya viene en ecuación explícita
(en azul las pendientes)
a) Para que sean perpendiculares, el producto de sus pendientes debe valer -1
La recta L1 quedaría de la forma:
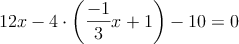
b) Para calcular el punto de intersección de ambas rectas, resolvemos el sistema formado por las ecuaciones de ambas rectas
Se puede resolver por sustitución (pues tenemos y despejada en la 2ª ecuación).
Operando, calculando y simplificando llegamos a las soluciones:
Por tanto, las rectas se cortan en el punto

c) Buscamos una paralela a L1 que pase por P= ( -1/3 , 1/3)
Expresamos L1 en forma explícita
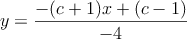
Cualquier recta paralela será de la forma
Para calcular D, le hacemos que pase por ( -1/3 , 1/3)
Operando obtenemos que
Por tanto la paralela que nos piden es:
