Problema de trigonometría 4481
Nos fijamos en el triángulo de la derecha, donde hemos llamado t al lado BC

Si conocemos entonces también conocemos
Dado que conocemos dos lados (m y n) y el ángulo comprendido entre ellos, podemos aplicar el teorema del coseno para hallar el lado t
En los ángulos suplementarios los cosenos son iguales, pero de distinto signo, es decir

con lo cual
Ya tenemos t en función de



Ahora podemos aplicar el Teorema de los senos para obtener el valor de
Por ser suplementarios

Una vez que tenemos podemos calcular
y finalmente
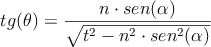
finalmente nos quedará la siguiente expresión para la tangente
Si sustituimos el valor de t
Se puede simplificar un poco, pero no merece la pena
Hallar el valor de en función de
,
y
