Selectividad Andalucía 2002-3-A1
Un cliente de un supermercado ha pagado un total de 156 euros por 24 litros
de leche, 6 kg de jamón serrano y 12 litros de aceite de oliva.
Plantee y resuelva un sistema de ecuaciones para calcular el precio unitario de cada artículo, sabiendo que 1 litro de aceite cuesta el triple que un litro de leche y que 1 kg de jamón cuesta igual que 4 litros de aceite más 4 litros de leche.
SOLUCIÓN
Asignamos incógnitas a los datos que nos piden.
Precio (en €) del litro de leche ![]()
Precio (en €) del kg de jamón ![]()
Precio (en €) del litro de aceite ![]()
Creamos las ecuaciones con los datos del enunciado (traduciendo del lenguaje humano al lenguaje algebraico)
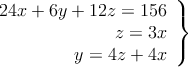
24 litros de leche, 6 kg de jamón serrano y 12 litros de aceite valen 156€
![]()
1 litro de aceite cuesta el triple que un litro de leche
![]()
1 kg de jamón cuesta igual que 4 litros de aceite más 4 litros de leche
![]()
Con esas ecuaciones tenemos un sistema de 3 ecuaciones con 3 incógnitas

Resolvemos el sistema por sustitución.
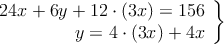
En la 2ª ecuación tenemos despejada ![]()
Sustituimos en las otras dos ecuaciones (1ª y 3ª)
![]()
Volvemos a aplicar el método de sustitución para resolver el sistema de dos ecuaciones con dos incógnitas
![]()
![]()
![]()
![]()
![]()
Por tanto el litro de leche vale 1€, el kg de jamón 16€ y el litro de aceite 3€