Selectividad Andalucía 2012-3-A2
andalucíaasíntotascurvaturaEjercicios_Resueltosfuncionesgráficagráfica_hipérbolaMatemat_Soc_Andalucía_2012monotoníaPIZARRAselectividad
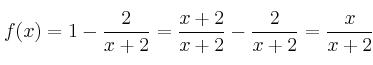
Se considera la función 
– a) Determine la monotonía y curvatura de la función.
– b) Calcule sus asíntotas.
– c) Represéntela gráficamente.
SOLUCIÓN
Podemos expresar la función de la forma siguiente:
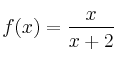
Por tanto
es un hipérbola de asíntotas
y
.
Dado que se trata de una función conocida, podemos dibujar su gráfica y a partir de ella, determinar monotonía y curvatura (de esa forma nos ahorramos hacer cálculos con derivadas).
Para representarla gráficamente, previamente dibujamos sus asíntotas y calculamos algunos puntos
– Vemos que es creciente en
y en
– Tiene una rama convexa: ![]()
y otra cóncava: ![]()