Selectividad Andalucía 2016-Junio-A3
Marta tiene dos trajes rojos, un traje azul y uno blanco. Además, tiene un par de zapatos de color rojo, otro de color azul y dos pares blancos. Si decide aleatoriamente qué ponerse, determine las probabilidades de los siguientes sucesos:
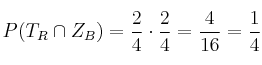
– a) Llevar un traje rojo y unos zapatos blancos.
– b) No ir toda vestida de blanco.
– c) Calzar zapatos azules o blancos.
SOLUCIÓN
a) 
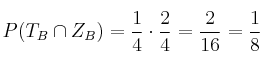
b) Hacemos primero el suceso contrario: "ir toda de blanco"

Por tanto el contrario: "no ir toda de blanco" será:

c) 