Contraste Unilateral Proporción
Un profesor afirma que, en su centro, el porcentaje de alumnos de bachillerato que fuman no sobrepasa el 15%. Si en una muestra de 60 de esos alumnos se observa que 12 fuman:
– a) ¿Es aceptable la afirmación del profesor, con un nivel de significación de 0,01?
– b) ¿La afirmación del apartado anterior es la misma si el nivel de confianza es del 90%?
SOLUCIÓN
Contraste unilateral para la proporción (Ver Teoría)
(hipótesis nula: proporción de fumadores
)
(hipótesis alternativa: proporción de fumadores
)
Datos del problema
(confianza del
)
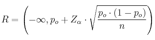
Región de aceptación (R)


![]()
Toma de decisión
Aceptamos
Es cierta la afirmación del profesor con un nivel de significación de 0.01
– b) Para un nivel de confianza del
,
, entonces la región de aceptación sería (cambiando 2.33 por 1.28):
![]()
Por lo que también aceptaríamos la hipótesis nula a un nivel de confianza es del