Ejercicio Distribución Muestral de Proporciones
Una fábrica de pasteles fabrica, en su producción habitual, un 3 % de pasteles
defectuosos. Un cliente recibe un pedido de 500 pasteles de la fábrica.
Calcula la probabilidad de que encuentre más del 5 de pasteles defectuosos.
SOLUCIÓN
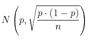
Estamos tomando una muestra de tamaño
, de una población donde la proporción de pasteles defectuosos es de
. Podemos usar las Distribución Muestral de Proporciones, que se ajusta a una normal 
En nuestro ejemplo, si sustituimos los valores de
y
y calculamos, sería
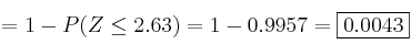
– a)
Se ha tipificado la variable y se ha hecho uso de la tabla de la N(0,1)
Mensajes
22 de junio de 2014, 17:07, por fabio
¿Q pasaria si nos dieran en este ejercicio como dato una poblacion de 1000 (pasteles)? Es decir se aplicarian los factores de correcion ( factor de correcion por poblacion finita y factor de correccion de continuidad)?
7 de marzo de 2018, 23:00, por .
Muchas gracias me ha sido de gran ayuda de verdad.
19 de junio de 2018, 03:53, por Diego
Tengo entendido que dará
1-P(Z<-2.63)
1-0.0043 = 0.9953
¿Porque él -2.63 lo toma positivo?