Integración por Sustitución. Ejemplo 2
En este ejemplo
hacemos un cambio de variable y la transformamos en una integral racional.
Hacemos el cambio:
![]()
Derivamos (a la izquierda respecto de "x" y a la derecha respecto de "t")
![]()
Con lo cual:

Ahora sustituimos:
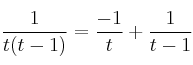
Es aconsejable repasar el método para integrales racionales con raíces reales simples.

En la expresión
sustituimos t por valores simples para calcular A y B
Si ![]()
Si ![]()
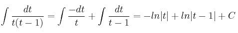
Por tanto:


Deshacemos el cambio de variable y tenemos que:
