Integración por Sustitución. Ejemplo 1
A veces nos encontramos con integrales que no responden a ninguna de las fórmulas de integrales inmediatas, lo que nos lleva a aplicar alguno de los métodos de integración más usuales, como es el cambio de variable o sustitución (que suele ser de gran utilidad cuando
tenemos raíces)
Ejemplo: 
La
sería la parte «más fea» de la expresión, y por tanto, la candidata a ser sustituida.
– El cambio de variable que hacemos es:
![]()
– El siguiente paso sería derivar la expresión anterior, pero antes elevamos al cuadrado ambos miembros (siempre que haya raíces en el cambio de variable debemos intentar quitarlas para que nos faciliten los cálculos). Elevando al cuadrado:
![]()
– Ahora derivamos ambos miembros de la igualdad (a la izquierda respecto de x y a la derecha respecto de t):
![]()
– El siguiente paso es sustituir en la expresión original todas las
que aparezcan (incluido
), de forma que quede una expresión en la variable

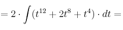
– Simplificamos


– Se ha transformado en una integral polinómica inmediata y fácil de calcular

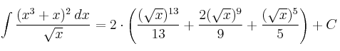
Una vez resuelta, debemos deshacer el cambio de variable: cambiar las
por ![]()
