Integrales Inmediatas. Resumen de Fórmulas
1 - Integrales Inmediatas
Introducción a las Integrales
Integrales polinómicas. Primeras propiedades de las integrales
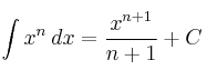
Integrales Inmediatas. Potencia de una función
Integrales Inmediatas tipo Logaritmo Neperiano
Integrales Inmediatas tipo Exponencial
Integrales Inmediatas Trigonométricas tipo Sen-Cos
Integrales Inmediatas tipo Tangente
Integrales Inmediatas tipo arc sen y arc tg
Integrales Inmediatas. Resumen de Fórmulas
Matemáticas IES
