Selectividad Andalucía 2012-2-B4
Se cree que al menos el 25% de los usuarios de teléfonos móviles son de
contrato. De una encuesta realizada a 950 personas, elegida al azar, 200 de ellas
manifestaron que tenían teléfono móvil de contrato. A la vista de estos resultados y con
un nivel de significación del 5%, ¿puede admitirse que la proporción de personas con
contrato en su teléfono móvil ha disminuido? Utilice para la resolución del problema un
contraste de hipótesis con hipótesis nula “la proporción p es mayor o igual que 0.25”.
SOLUCIÓN
Se trata de un contraste de hipótesis para proporción de tipo unilateral (Ver Teoría)
Contraste
(hipótesis nula)
(hipótesis alternativa)
Región de aceptación (R)

–
–
(tamaño de la muestra)
–
(proporción de la muestra)
–
al
![]()
Miramos la tabla de la N(0,1) y vemos que los mas próximo a 0.95 es 0.9495 (1.64) y 0.9505(1.65). Tanto si tomamos 1.64, como si tomamos 1.65 nos deberían dar el resultado por bueno, no obstante, como está a la misma distancia de ambos, voy a tomar 1.645 (la mitad entre 1.64 y 1.65).
Por tanto ![]()
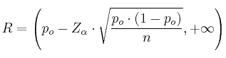
La región de aceptación sería:

![]()
Como la proporción de la muestra está fuera de la región de aceptación
, rechazamos la hipótesis nula (
) de que al menos el
de los usuarios de teléfonos móviles son de
contrato y admitimos que la proporción de personas con contrato en su teléfono móvil ha disminuido