Funciones (I)
Funciones (I) - 1º Bachillerato de Ciencias
Halla el dominio de la función

Halla el dominio de la función
![]()
Halla el dominio de la función

Halla los valores de
y
para que la siguiente función sea continua:

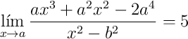
Calcula los valores reales de a y b para que se cumpla la siguiente igualdad:

Dada la función
Calcula los siguientes límites:
–
–
– ![]()
Calcula
en los siguientes casos:
–
–
–
–
–
– 
Calcula los siguientes límites y esboza las ramas en el infinito
–
– 
Estudia monotonía y extremos en la función ![]()