Distribución Normal
Variables aleatorias continuas
En una variable aleatoria continua
para cualquier valor de
, por tanto, sólo tiene sentido calcular la probabilidad de un intervalo.
![]()
Distribución Normal
Cuando una variable aleatoria
sigue una distribución normal de media
y desviación típica
se representa:
![]()
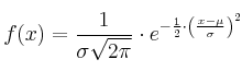
Su gráfica, llamada campana de Gauss, está determinada por la función:

Las probabilidades se calculan como área bajo la curva (usando integración), pero al ser una función muy complicada, en la práctica no necesitaremos usar la función anterior; en lugar de ello se usan las Tablas de la Normal Estándar de media=0 y desviación típica=1
En definitiva, lo que hacemos en la práctica es:
– 1) Aproximar la Normal a una Normal Estándar (0,1)
– 2) Mirar los datos en las Tablas de la N(0,1)