Ecuaciones bicuadradas
Llamamos bicuadradas a las ecuaciones de 4º grado que no tienen término en
ni término en
. Son de la forma:

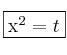
Para resolverlas se aplica el cambio de variable:
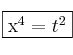
con lo cual 
El cambio la transforma en una ecuación de 2º grado:

Se resuelve la ecuación de 2º grado en la variable
