Ecuaciones de segundo grado incompletas
Todas las ecuaciones de segundo grado se pueden resolver por la fórmula general, no obstante, hay algunas (que llamamos incompletas) que pueden resolverse de manera más fácil.
Hay dos tipos de incompletas:
– Cuando les falta el término independiente:
.
Se resuelve sacando factor común
.
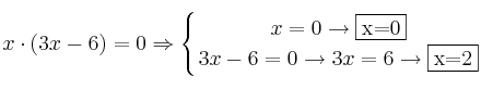
Ejemplo: ![]()
Sacamos factor común
![]()
Producto de dos factores es cero
alguno de ellos es cero

– Cuando les falta el término en x:
.
Se resuelve despejando
.
Ejemplo: ![]()
Despejamos ![]()

Las soluciones son
y 